
Data Summary
Ecophysiological and biogeographic predictors of CTmax in Polish copepods
This page summarizes the data collected, including the distribution of sampling sites, the species collected, and some basic summaries of the data collected.
Collection Details
Copepod collections were made from 7 sites from 2025-07-21 to 2025-07-28. A total of 295 CTmax measurements were made, ranging from 25.9 to 40.2°C.
The number of CTmax measurements from each site and habitat type is shown below.
| site | collection_date | littoral | surface | metalimnion | total |
|---|---|---|---|---|---|
| Siecino | 2025-07-21 | 0 | 25 | 12 | 37 |
| Drawsko | 2025-07-22 | 11 | 0 | 7 | 18 |
| Insko | 2025-07-23 | 11 | 11 | 11 | 33 |
| Glebokie | 2025-07-25 | 32 | 33 | 0 | 65 |
| Odra | 2025-07-26 | 0 | 55 | 0 | 55 |
| Obok Lomota | 2025-07-27 | 44 | 0 | 0 | 44 |
| Przeclaw | 2025-07-28 | 43 | 0 | 0 | 43 |
Taxonomic variation in CTmax
We made 206 measurements for Cyclopoids and 89 measurements for Calanoids.
In general, cyclopoids had higher CTmax values than calanoid copepods.

CTmax data is shown below, aggregated to the genus level. Note, these CTmax values do not account for differences in collection temperature.

Several genera were represented by multiple species. CTmax data for individual species is shown below. The fill-color of the box plots indicates the genus.

Other variation in CTmax
We were able to sample copepods from multiple habitats at several of the sites. Broken down by habitat type, there are clear differences in thermal limits between the littoral/surface waters and metalimnion. Again, these comparisons do not account for differences in collection temperature, but highlight intra-lake spatial variation in thermal limits that may be important to account for.

These differences in thermal limits may be attributed to multiple factors, including variation in species composition and acclimation to the different environments. Shown below are CTmax values from the different habitats, grouped by species, allowing us to examine the effect of habitat / environmental temperature while controlling for for other factors. The increased thermal limits in the littoral community observed in the plot above appear to be due to changes in community composition (genera/species in the littoral have higher CTmax values than those in the surface waters). By contrast, variation between littoral/surface and metalimnion habitats may reflect acclimation to cooler temperatures - individuals from the metalimnion were collected from water around 10°C cooler than the surface waters. This is especially clear for Eurytemora lacustris, and the two Diaptomus species

Statistical modelling
We examined the data using a mixed effects model, where CTmax is modeled as a function of collection temperature, species ID, and habitat type (with no interactions). Site, tube number (as a proxy for the position within the water bath), and the water bath ID were included as random effects. This model performs fairly well, although there is high variance inflation for both collection temperature and habitat type.

An ANOVA unsurprisingly indicates strong effects of species ID, but no effect of collection temperature or habitat type.
| Chisq | Df | Pr(>Chisq) | |
|---|---|---|---|
| collection_temp | 0.7407021 | 1 | 0.3894361 |
| species_id | 633.0991274 | 23 | 0.0000000 |
| habitat | 0.4623608 | 2 | 0.7935963 |
Using this model, we can extract the marginal mean CTmax for each species (i.e. what is the expected CTmax, controlling for other factors like collection temperature). Here we show the expected CTmax for each species at a collection temperature of 20°C. These estimates might be useful as we start to consider how biogeography might affect species’ thermal limits.

To highlight variation within each genus, the estimated CTmax values are shown again below arranged by genus. In this configuration, inter-specific variation within several of the genera is more obvious. Eurytemora, Eudiaptomus, Eucyclops, and Thermocyclops for example, all contain several species with divergent thermal limits.

Other Traits
Body size
Copepods varied widely in size.

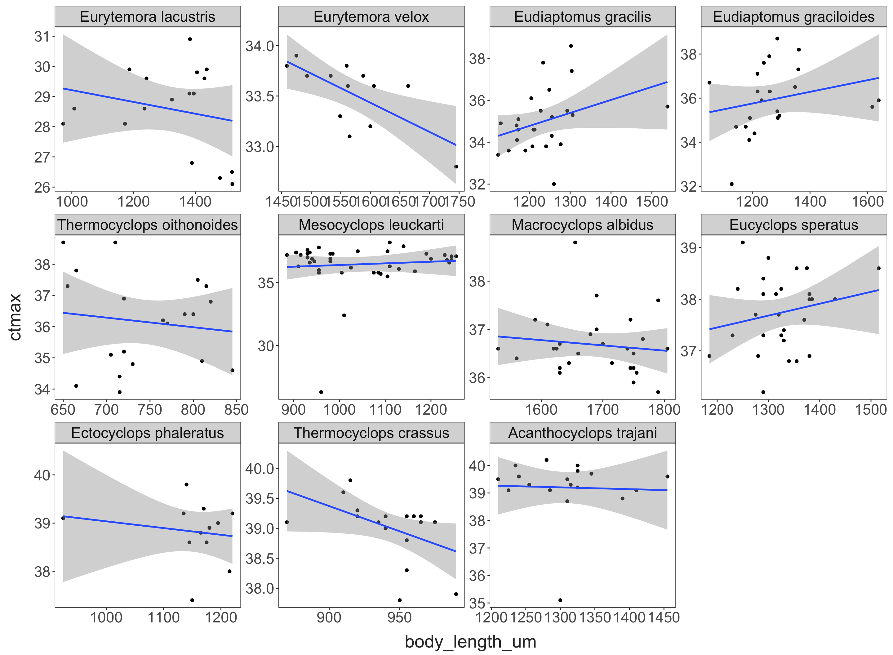
The relationship between size and thermal limits may also be of interest. This relationship is shown below for species with 10 or more size measurements.

When the CTmax vs. size trend is extracted for each species (from a linear model: CTmax as a function of species ID and body length, with interaction), trend estimates tend to be relatively small and have confidence intervals overlapping zero.
